Solutions to Quizzes: STA220 Summer 2004


Quiz 2

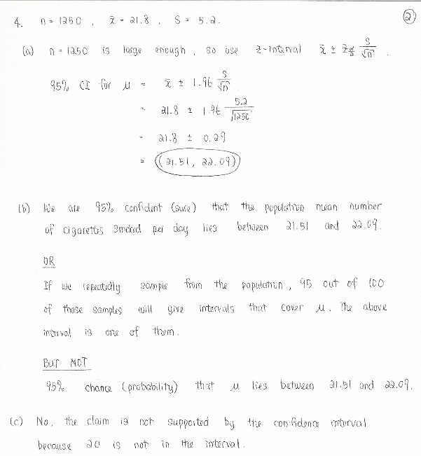
Quiz 2 Answers, Page 1 Quiz 2 Answers, Page 2

Quiz 3

Quiz 3 Answers, Page 1 Quiz 3 Answers, Page 2