Email from a client


 


Dear Dr 
 a very good day to you, 
i am a PhD student from Faculty of agriculture in UPM, Malaysia. 
currently, i am in 6 semester and collect my data . 
during the data analysis i got confused as different people gave me different idea. 
it would be kind of you if you may please can help me and give me your suggestion  
about my experimental design so i can analysis my data and interpret them in a right way. 
i am really appreciate . 
below is the info on my project and my question . 
  
The title of the project:
Determination the effect of nano silver bactericide on beneficial microbes in 
the soil and the residue in soil and plant. 
 
Objective (it is one of the objectives of my study):
To obtain the uptake of nano silver by plant and the effect on plant growth 
parameters. 
 
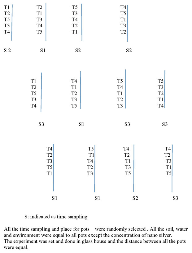
Design:
5 treatments based on different concentrations included the control.
Under each treatment there were 4 replications.
 
Data sampling:
3 times data sampling:
1-    4th week after plantation,
2-    6th week (flowering stage), and  
3-    8th week (fruity stage).
 
Each time after sampling the whole plant was destroyed to measure the amount of 
nano silver in different parts 
of the plant. 
 
The suggestions received from two statistics advisors (named A and B) for 
analysing the data:
 
A.   The experimental design is nested design. The data can?~@~Yt analyse with 
ANOVA. The reason is that the concentration should take into consideration as 
well. In addition, the comparison between the concentration and time is impossible.
 
B.   The experimental design is RCBD based on two factors (time and concentration). 
ANOVA can be used + response curve and analysis over the time. 
  question:
Which method and design is suitable for my project?
 
Pleas find the experimental design as an attached file. 
It would be kind of you if you may please can reply my email. 
thank you in advanced 
 
Poopak Sotoodehnia

Natural Resources Engineering, Azad University, Iran
Master of Technology(Environmental Management)University of Malaya,Malaysia
PhD student on risk assessment of nano technology in Agriculture 
Faculty of agriculture 
UPM, Malaysia